国际商学院
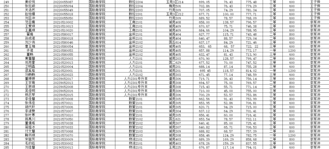
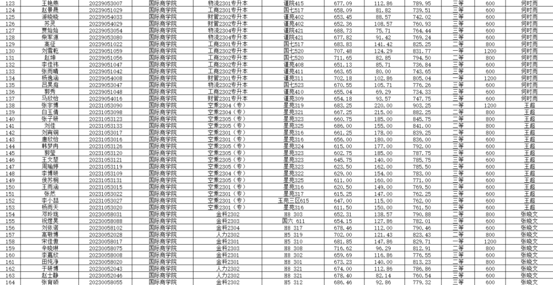
燕京理工学院国际商学院2023-2024学年第二学期优秀学生奖学金初评结果公示
根据《燕京理工学院优秀学生奖学金评审办法》(试行)和燕京理工学院《关于做好2023-2024学年第二学期优秀学生奖学金评选工作的通知》的精神,我院组织开展了2023-2024学年第二学期优秀学生奖学金评定工作。
评选结果公示
经学生本人申请,评审小组评定,学院审核,拟推荐人力2201班李林霖等285人为2023-2024学年第二学期优秀学生奖学金获奖者。现将优秀学生奖学金获奖学生情况予以公示,请广大师生对公示情况进行监督。
2023—2024学年第二学期优秀学生奖学金

(奖学金公示名单)
公示地点:办公楼221公示栏
公示时间:2024年9月13日至9月19日
对评审结果有异议的同学请于公示期间内将情况反映至国际商学院。
联系人:贾思博
电话:0316-3380182
联系人:王萌萌
电话:0316-3380107