新闻公告

国际商学院2023-2024学年度优秀学生个人和先进学生集体评选工作初评结果公示

   根据燕京理工学院《关于开展2023-2024学年度优秀学生个人和先进学生集体评选工作的通知》的文件精神,我院组织开展了2023-2024学年度优秀学生个人和先进学生集体评选工作。

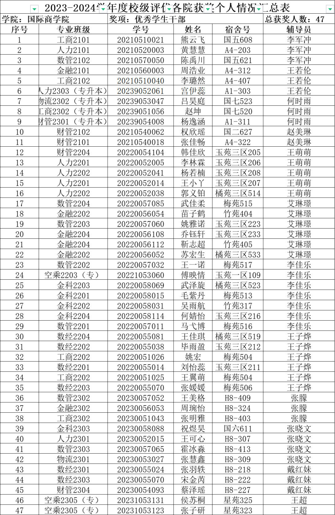
   经学生本人申请,所在班级评议,学院评审,拟推荐白天放等119人为2023-2024学年度校级三好学生,毕雨盈等47人为2023-2024学年度校级优秀学生干部,西家保等12人为2023-2024学年度校级十佳学习标兵,杨佳等42人为2023-2024学年度校级优秀宿舍长,梅苑5059个宿舍为2023-2024学年度校级五好宿舍,数管2303班等9个班集体为2023-2024学年度校级优良学风班,财务管理2204班、数管23022个班集体为2023-2024学年度校级红旗班集体。

   现将校级三好学生、校级优秀学生干部、校级十佳学习标兵、校级优秀宿舍长、校级五好宿舍、校级优良学风班、校级红旗班集体初评结果予以公示,请广大师生对公示进行监督。

 

评选结果公示    

 

2023-2024学年度优秀学生个人和先进学生集体评选工作初评

(评选结果公示) 

   公示地点:国际商学院公告栏(221室门外)。

   公示时间:20241115日至20241122日。

   对评审结果有异议的同学请于公示期间内将情况反映国际商学院,反映情况时请以书面或邮件形式写清具体原因及理由。

   联系人:贾思博   

   电话:17732628448

   联系人:艾琳璟  

   电话:17358703396

   邮 箱:aimeiyuan81@163.com