环境与健康学院

学院新闻
>学院新闻

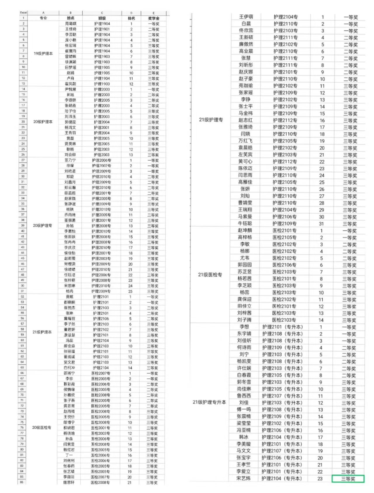
2021-2022学年第一学期优秀学生奖学金评选公示

       根据《燕京理工学院优秀学生奖学金评审办法》(试行)和燕京理工学院《关于做好2021-2022学年第一学期优秀学生奖学金评选工作的通知》要求,生命与健康学院组织开展了2021-2022学年第一学期优秀学生奖学金评审工作。

       经学生本人申请,学院评审小组公开、公平、公正审定,拟推荐生命与健康学院周璐琪、尹悦慧等153人为2021-2022学年第一学期优秀学生奖学金获奖者。现将优秀学生奖学金获奖学生初评结果予以公示,请广大师生对公示情况进行监督。

奖学金名单