通知公告
会计学院>通知公告
燕京理工学院会计学院2022-2023学年度优秀学生个人和先进学生集体评选工作结果公示
根据《关于评选2022-2023学年度优秀学生个人和先进学生集体的通知》的相关要求,燕理会计学院积极开展2022-2023学年度优秀学生个人和先进学生集体评选工作。
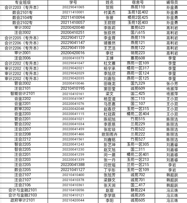
经学生个人申请、学院审核,拟推荐杜瑶等同学为我院校级三好学生,马子双等同学为校级优秀学生干部,王晴等同学为校级十佳学习标兵,李陈莉等同学为校级优秀宿舍长,国二311等宿舍集体获得校级五好宿舍,审计2002班等班集体获得校级优良学风班,注会2207班、会计与金融2101班获得校级红旗班集体。
此次评选,肯定了会计学院同学们的优秀成绩,学生的自我价值感得以实现,也能促使更多同学付出努力进行学习,形成良性的学习竞争氛围,切实达到树标杆、立典型,发挥示范引领作用,更进一步引导广大学生要全面发展,不断为会计学院做出更多贡献,做更优秀的燕理人。
现将2022-2023学年度优秀学生个人和先进学生集体评审结果名单向全院师生予以公示。请广大师生对公示情况进行监督。如对评选结果有异议,请于公示期间内向会计学院进行反映,反映情况请以电话说明具体原因。
公示时间:2023年11月21日
联系人:冯云珠
电话:186 3132 2389
校级三好学生

校级优秀学生干部

校级十佳学习标兵
校级优秀宿舍长
五好宿舍
获奖集体
文/会计学院新闻中心 管会2202 张莎
审核/会金2302 李宇航