优秀学子
会计学院>优秀学子
燕京理工学院会计学院2024-2025学年第一学期优秀学生奖学金初评结果公示
根据《燕京理工学院优秀学生奖学金评审办法》(试行)和燕京理工学院《关于做好2024-2025学年第一学期优秀学生奖学金评选工作的通知》的精神,我院组织开展了2024-2025学年第一学期优秀学生奖学金评定工作。
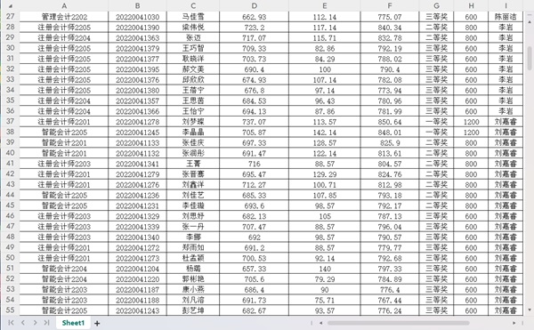
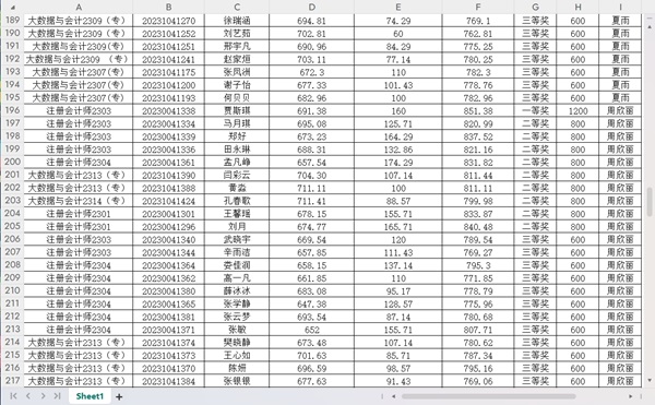
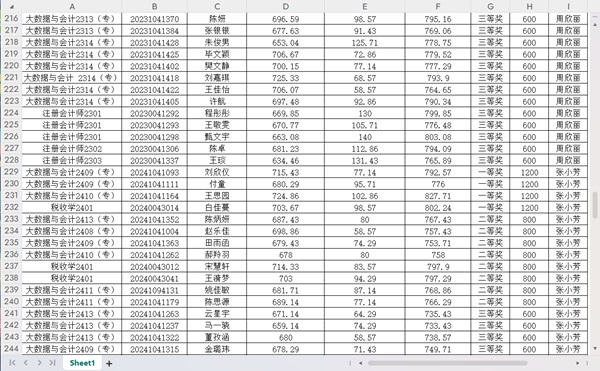
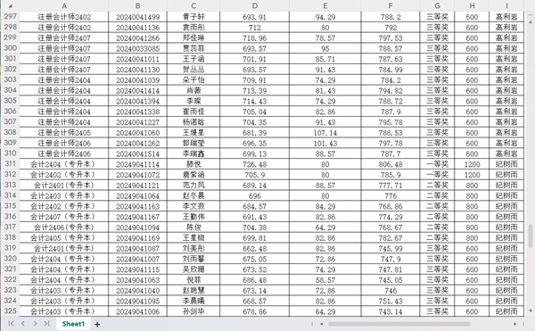
经学生个人申请、学院审核,拟确定注册会计师2212李乐尧等407位同学为我院2024-2025学年度第一学期优秀学生奖学金获得者。此次评选,肯定了会计学院同学们的优秀成绩,学生的自我价值感得以实现,也能促使更多同学付出努力进行学习,形成良性的学习竞争氛围,切实达到树标杆、立典型,发挥示范引领作用,更进一步引导广大学生全面发展,不断为会计学院做出更多贡献,做更优秀的燕理人。现将奖学金获奖学生名单向全院师生予以公示。请广大师生对公示情况进行监督。
公示地点:会计学院公告栏办公楼211、208、215办公室外
公示时间:2025年3月25日至3月27日
对评审结果有异议的同学请于公示期间内将情况反映至会计学院。
联系人:胡国超 电话:13623162414
王小双 电话:18131516014
会计-2024-2025学年第一学期奖学金名单
















文/会计学院
审核/注会2409 王会捷