学院动态
会计学院>学院动态

【组织活动】海棠花开 新的征程——新战友们收信啦!

经历风雨,便能成长。一场搏击,增添胆量。一圈年轮,一次辉煌。踏上军旅生涯,用智慧和勇气书写你特别的人生。随着海棠花开,春天的到来,燕理校园到处充满生机。此时会计学院10名学子已背负行囊,前往它乡,开始自己新的人生,开始自己的军旅行程。

为了激励,鼓舞新入伍的会计学院学子们,并传承会计学院退伍学子们携笔从戎,为国奉献的优良品质精神。423日,燕京理工学院会计学院军魂社10名退伍大学生士兵在张小芳老师的指导下,穿上军装,拿起信纸,为新入伍的战友们写下自己的祝福与鼓励,并邮寄到他们所在的部队当中。希望新战友们能勇敢的面对新的生活,早些适应部队的大环境,融入部队中去,历练出新的自己,融入新的生活与集体。



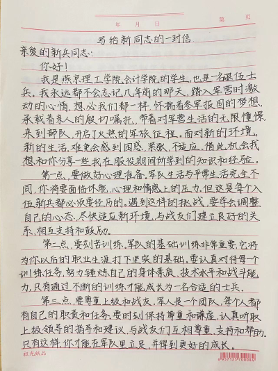
退伍士兵写信

写完信后,会计学院退伍士兵们感慨万分,在写信时他们回想到入伍之初的激动以及对家人的不舍,更表示在军旅生涯中不仅锻炼了他们的身体,更磨炼了他们的意志,还学到了为人处事的道理,虽然有艰辛与劳累但收获更多的是成长,还有无法割舍的战友情谊。他们还说到,写信代表老兵精神的接力与传承,更是对新入伍的十名战友们的鼓励与嘱托,希望他们能在部队中努力训练,提高自己,在新的道路上砥砺前行。


退伍士兵写的信

退伍士兵们还表示。在接下来的生活中,他们将更加努力学习,努力工作,不断提升自己,发挥在部队中的优良精神与作风。会计学院注会2110班退伍大学生闫申说,在国家政策的倡导下,在学校、老师、父母的支持下越来越多的燕理学子奔赴部队,开始人生新的篇章。同样越来越多的退伍士兵重返校园,他们不忘初心,展现军人精神。希望会计学院入伍的十名学子们穿上新的军装,带着勤奋创新璞玉成器的燕理校训,以及退伍学长学姐们的殷勤嘱托,踏入新的环境,走上新的征程,在部队中刻苦训练,努力学习,认真工作,发挥出自己无限的光芒!


相互敬礼

新兵入伍离开校园,老兵退伍再当学生,正是一代代的传承与发展让燕理注入了越来越多的优良精神与风气,也让燕理有了无限的可能。退伍老兵们说,信是燕理退伍老兵对新兵同志们的期望与嘱托的载体,同时也希望更多燕理学子能像这十名同志一样奋发有为,在毕业后,响应国家号召,积极应征入伍,献身国防,为我国国防奉献出自己的力量!


向国旗敬礼

/会计学院新闻中心

审核/注会2208高煜迪