学院新闻
体育学院2022-2023学年国家励志奖学金评选结果公示
发布时间:2023-11-13 18:17:16 作者: 点击量:1198
(体育学院新闻中心)根据财政部、教育部有关评定国家奖助学金的规定和河北省教育厅《关于下达 2023 年本、专科国家奖助学金名额的通知》文件要求和燕京理工学院《关于做好2022-2023学年度国家励志奖学金评选工作的通知》的精神,我院组织开展了2022-2023学年度国家励志奖学金评定工作。
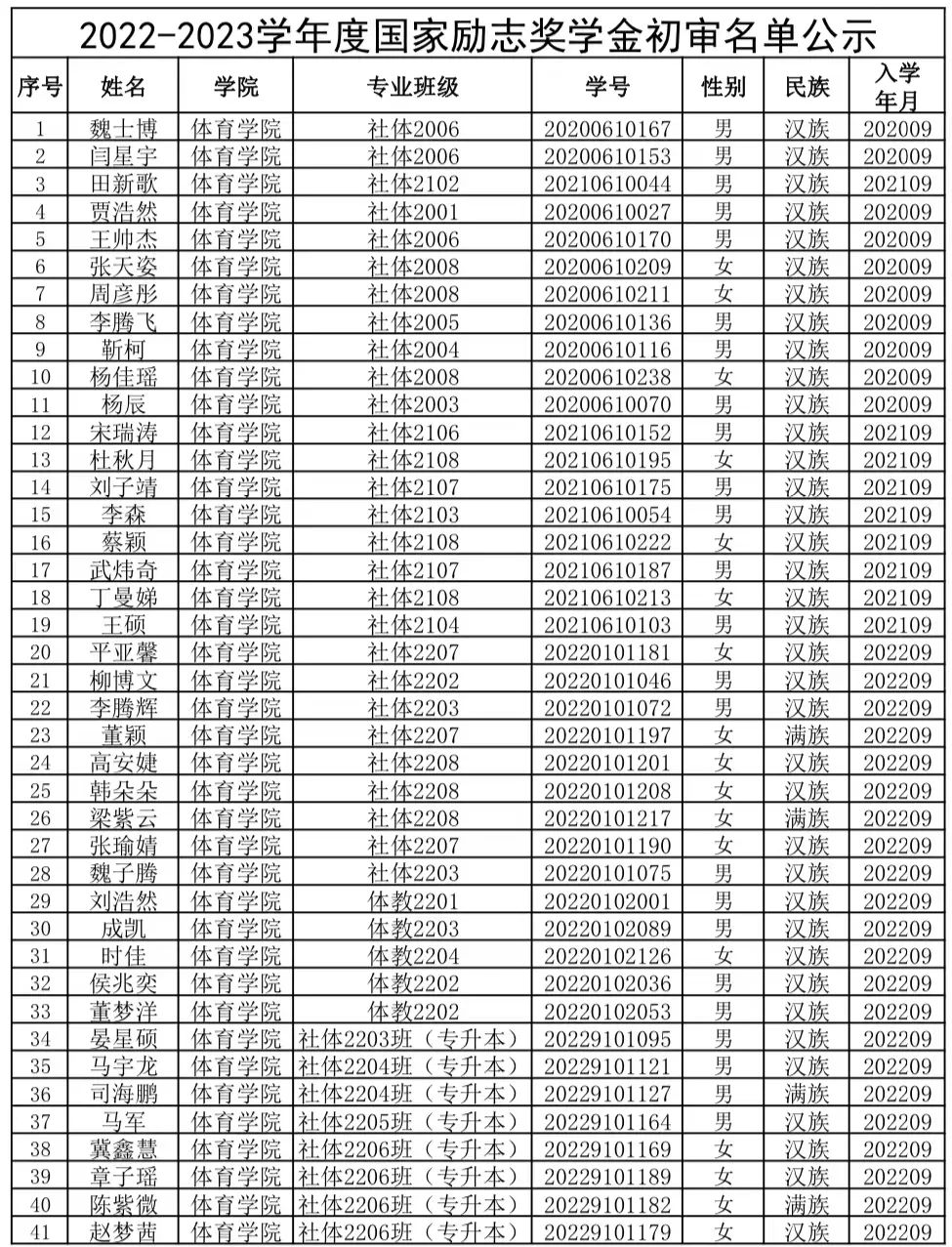
经学生本人申请,所在学院评审推荐,学校审核,拟推荐田新歌等41人为2022-2023学年度国家励志奖学金奖励对象。现将国家励志奖学金推荐学生情况予以公示,请广大师生对公示情况进行监督。
国家励志奖学金公示名单

公示地点:体育学院公告栏(体育馆C101)
对评审结果有异议的同学可联系学院资助负责老师进行情况反映,反映情况时请以书面或邮件形式写清具体原因及理由。
联系人:李斌
电话:0316-3081453
联系人:王芳
电话:15632801003
邮箱:390212657@qq.com
——燕京理工学院体育学院新闻中心
