学院简介 现任领导
本科培养-本科专业介绍 专科培养-专科专业介绍
学科竞赛 教学研究
招生就业 学生组织 学生活动
党建动态 党务公开 支部建设 党员示范 主题教育
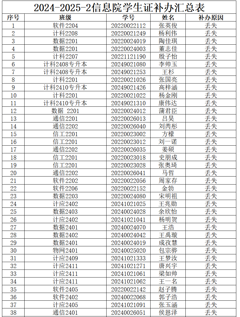
本学期共有76名学生(具体人员名单见下表)学生证遗失,经辅导员审核,学院领导同意,申请补办学生证。自公示之日起,原学生证作废。公示期2025年4月9日-4月13日。如有异议可向学院反映,电话:0316-3380160。
燕京理工学院信息科学与技术学院
2025年4月9日